少年领读者·一封家书
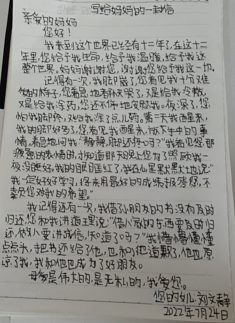
今天,“少年领读者·一封家书”编辑组收到了来自武汉市金口街道范湖小学刘文静同学写给妈妈的一封信。
组别:小学组
给妈妈的一封信

你有话想对亲人说吗?
是否因为羞涩不敢当面表达呢?
不如写一封家书
字字斟酌 句句情深
见字如面 展信如晤
更多信息:
专家点评训练营来了!“少年领读者·一封家书”征文暨朗读大赛火热进行中
多重大奖等你来拿!“少年领读者·一封家书”征文暨朗读大赛送你C位出道~

出品:湖北广电融媒体新闻中心
监制:郭小容
审核:康耀方 郭晓勇
策划:彭云鹤 李桓
美编:邱方蕾 梁意 蒋艳 王思思
编辑:徐欲然(实习)
责任编辑 谢雅静
暂无评论,快来抢沙发~