
海报制图:刘慧慧
中安在线、中安新闻客户端讯 新年伊始,新型冠状病毒感染的肺炎疫情牵动着亿万人的心,面对来势汹汹的病毒,很多人挺身而出,他们在申请书上签下姓名,请求奔赴一线,他们在请战书中按下手印,希望用所学报效祖国,他们在家书中写下决心,舍家前行。
也有很多人,他们不在一线,却始终惦念着一线,他们是前线战士们的父母、子女、丈夫和妻子,纸薄情深,纸短情长,家人们用笔写下不舍,记下思念,表达理解,为勇士们加油、祝福,盼望他们早日归来……
一线请战书!使命在肩
“苟利国家身死已,岂因祸福趋避之”。疫情当前,一个个鲜红的手印背后,是一个个一往无前的身影……

芮晓艳及同事们的请战书
“我参加过抗击非典、抗击HINI甲型流感的战斗,有专业技术和临床经验,我主动申请加入支援武汉医疗队,不计报酬,不论生死!” 1月26日,在得知医院要组建支援武汉医疗队后,滁州市第一人民医院芮晓艳医师第一时间向党委递交请战书。此时,同在防疫一线的哥哥芮兵也不约而同地递交了请求,积极要求到医院抗击疫情的最前沿——发热门诊参加值班工作。后来,这对党员医师兄妹,一个作为该院支援武汉医疗队队长前往武汉参与救治工作,一个誓将新冠状病毒肺炎拦截在滁州之外,用专业的技能和坚定的信念与疫情决战。
2月1日,一份摁有红手印的书面请战书递到了泾县公安局交管大队党总支书记张明手中。请战人是共产党员、交管理大队法制室负责人吴恒。在请战书中,吴恒写道:“作为一名共产党员,应当投身到一线防控工作中去,入党誓词和党员义务不能停留在口头上……”
而鲜为人知的是,吴恒患糖尿病已经12年,每天都靠打胰岛素维持生命,受吴恒感染,检查点的9名民警辅警个个铆足了劲,大家24小时连轴转,只有一个目标——保证群众生命安全。
“我是共产党员,让我先上”“我是共产党员,这个时候必须顶上去”……防控疫情的关键时刻,滁州市近万名共产党员在请战书上按下“红手印”,主动要求前往疫情防控最前线。“‘非典’那年我上初中,被大家保护,现在我已经工作,我们90后要担起责任了,作为一名共产党员,更要带头参加,我也想贡献自己的一份力量!”28岁的明光市人民医院泌尿科护士张瑜在按下“红手印”的请战书上,表达了去抗疫最前线的迫切愿望。
入党申请书!请组织考验
在情况危急的战“疫”第一线,每天都有人举起右手,用最响亮的声音立下庄重的誓言——为人民服务。

谢然的入党申请
“作为医护人员我深知肩上的责任,我将积极向党组织靠拢,认真学习、踏实工作。我将用党员的标准严格要求自己。请党组织在实践中考验我!”1月31日,在支援湖北一线最危险的隔离区“战斗”的90后护士谢然在白纸上写下自己的入党申请,这一天也是她首次穿上防护服进入隔离区并连续工作12个小时。

宁国市西津街道社区卫生服务中心医务科主任、眼科主治医师金欢向该中心党支部递交l 入党申请书。
在这场战”疫”中, 宁国市西津街道社区卫生服务中心医务科主任、眼科主治医师金欢也递交了自己的入党申请书。他写道,“作为一名医务工作者,在当前新冠肺炎疫情发生时,我深知肩上的责任与重任……请党组织考验我!”金欢说,在新冠肺炎疫情防控工作中,看到身边的党员同事们一个个冲在前,被他们无私无畏、敢于奉献的精神感染,也坚定了加入中国共产党的决心。
“今天,我刚从卡口值完班,在此怀着激动的心情写下这份入党申请书,决心在疫情战场上,为了人民群众身体的健康与安全,勇往直前,坚持‘逆行’……” 2月5日上午,正在四合村交通卡口值班的党支部书记周运胜收到了正在疫情防控一线参与志愿服务的程忠递交的入党申请书。在抗击疫情工作中,程忠与四合村党员干部战斗在一线,受到身边党员干部的鼓舞,他明白责任在肩,入党的愿望愈发坚定,在疫情防控一线,他递交了入党申请书。

滁州市第一人民医院ICU重症病区的护理骨干吴敏在出发前递交了自己的入党申请书
护士吴敏是滁州市第一人民医院ICU重症病区的护理骨干,在科室接到组建援助湖北医疗队的紧急通知后,她主动要求参加奔赴一线。出发前,她托同事把自己的入党申请书转交给院党委,她写道,“我作为一名医务工作者,救死扶伤是我的天职。在国家需要我们的时侯,我们有责任有信心取得这场战斗的胜利。但在这次抗击新型冠状病毒肺炎疫情的战斗中,我要以一个共产党员的标准来要求自已,用自已的所学知识为患者服务……”
战“疫”日记!我们来了
疫情当前,他们把“父母”“妻子”“丈夫”的身份暂且搁置,此时此刻,他们只有一个名字——“战士”。在一封封战疫日记里,他们用最朴素的话语记录下自己的工作,记录下日常的点点滴滴。

安徽支援湖北首批医疗队队长陈红写下了日记。
“其实现在已经是28日0:26分了,刚洗漱好……我们一定不负重任,完成使命。”这是安徽支援湖北首批医疗队队长陈红的日记。在全省出征誓师大会上,陈红代表医疗队发言,她说,“全力投入到抗击疫情的防控和重症病人的救治中,不辱使命,勇往直前!”

中国科大附一院(安徽省立医院)首批支援湖北医疗队队员王佳佳日记
1月29日,在参加完系统培训、完成与当地医院的沟通对接后,中国科大附一院(安徽省立医院)首批支援湖北医疗队10名队员奔赴疫情最前线。“进入病房前,心中还是有些害怕,不过,进入病区,看到患者无助的眼神,瞬间就消除了顾虑。”队员王佳佳在日记中写道,“交接班的时候,13床的大妈努力向我们点了点头,我们告诉她,别怕,有我们在!”

皖南医学院弋矶山医院重症医学科护理人员杨尚志日记
“1月31日(第五天)今天还是15、16,最大的惊喜有二点。一是通过几天的治疗,15床认出我了,很开心……”“2月2日(第七天)早上来护理部报道,上班前不敢喝水,就算8个小时不上厕所也是没问题的希望继续加油……”杨尚志是皖南医学院弋矶山医院重症医学科一名护理人员,疫情当前,医院派出6名政治素养过硬、业务水平精湛、身体素质健康的医护人员随队出征,杨尚志就是其中之一,此时,他的孩子才刚满月。
家书!寄思念写牵挂
疫情当前,白衣战士们不得不暂时放下家庭,赶赴最危险的地方,和时间赛跑,与病毒战斗,但一封封家书,让思念和牵挂永不缺席。

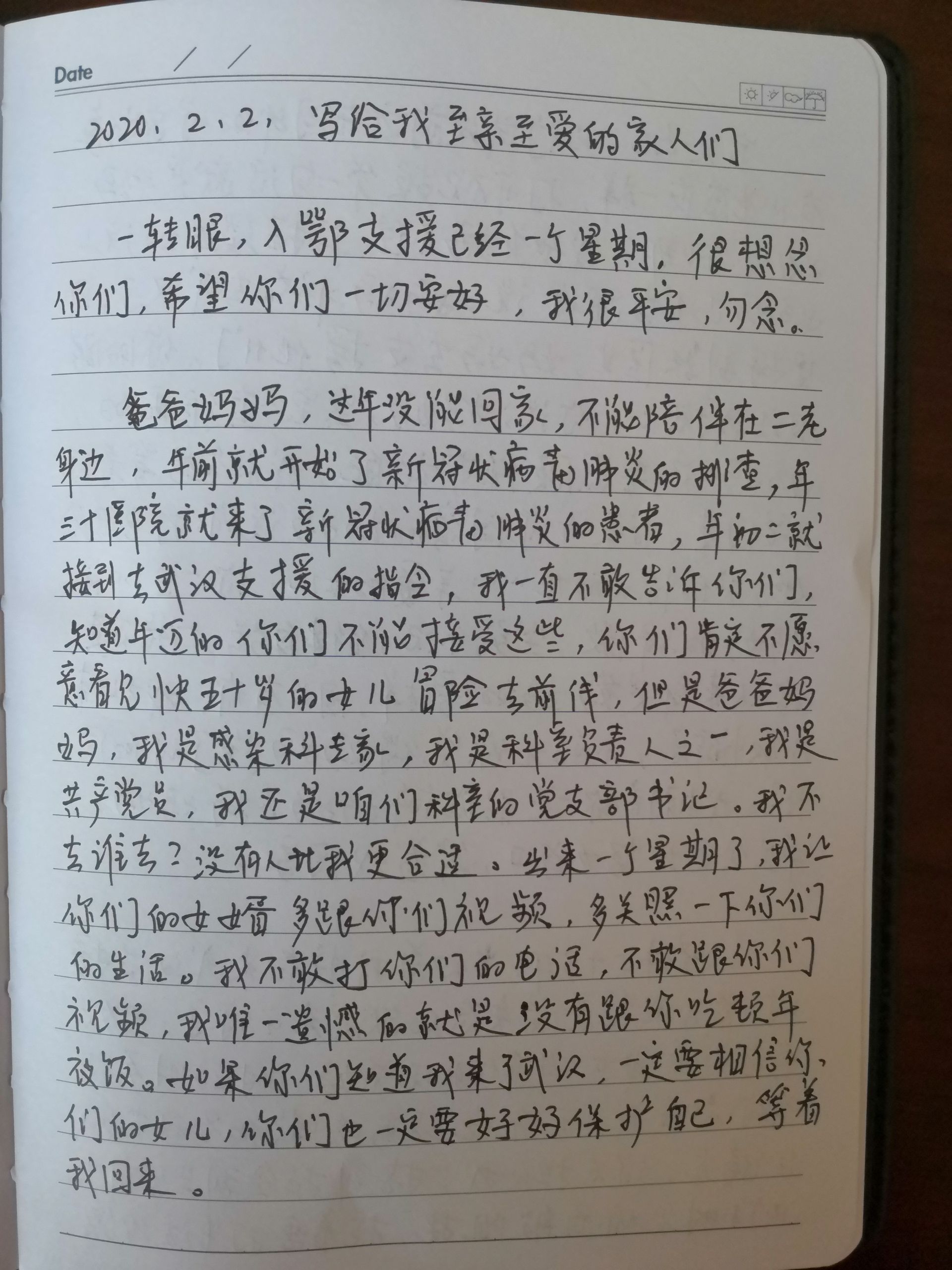
2月2日,池州市人民医院感染科副主任医师、感染科支部书记、池州援鄂医疗队队长刘晓玲发回了首封家书。
“一转眼已经一个星期了,很想念你们,希望你们一切安好,我很平安,勿念。我是共产党员,我还是咱们科室的党支部书记,没有人比我更合适……”2月2日,池州市人民医院感染科副主任医师、感染科支部书记、池州支援湖北医疗队队长刘晓玲发回了首封家书。万家团圆的日子,她选择离开故乡来到他乡,也选择了将家国的情怀写入使命。

安医大四附院刘会武与妻子沈杭的家书
“我的爱人,最美逆行者,等你早日凯旋。最后祝愿山河无恙,英雄归家,硝烟散尽见曙光!”“谢谢你,我的爱人,我又一次把家留给了你……”这是中国能建安徽院勘测工程公司测绘工程师刘会武与在安医大四附院担任重症医学科护士长的妻子沈杭的家书。大年初三,沈杭就作为安徽首批支援湖北医疗队队员驰援武汉。虽然有很多不舍,但刘会武还是对妻子表示了理解和支持。“ 我们都是党员,你去了前方战斗,我也不会落后的,不忘初心,牢记使命,勇于担当的党员精神我也有,我会与你一起并肩作战。”

蚌埠医学院第二附属医院重症医学科护士周玉娟父亲写给她的家书
到武汉以后,蚌埠医学院第二附属医院重症医学科护士周玉娟的父母才通过新闻联播知道孩子已前往一线进行医疗援助。当天深夜,老父亲夜不能寐,提笔写下一封家书,希望周玉娟安心在“前线”报效祖国。“我和妈妈在看安徽新闻联播后方知你已前往湖北武汉前沿,你响应了党的召唤,为国分忧,报效祖国,亲人们表示十分赞同,并感到十分骄傲……”

淮南谢冬梅家书
“冬梅,辛苦了。元宵节没有回来,爸爸很想念你。但爸爸知道你正战斗在防控疫情的第一线,爸不怪你,反而为你高兴……爸支持你,我和你妈在家都很好,放心吧。向和你携手战斗的同事们问好,你们辛苦了!”2月8日,是疫情防控的关键时期,也是元宵节,淮南八公山区毕家岗街道上游社区副书记谢冬梅在在防疫一线忙了一天回到家后,看到父亲放在书桌上的这封家书,瞬间泪目。一封几百字的家书,诉说着一名父亲对女儿的关心与牵挂,表达的是一名父亲对女儿坚守岗位的骄傲与赞赏。
孩子们的话!加油 爸爸妈妈
他们是患者的依靠,是一城人民的守护者,也是孩子们心目中的英雄和“超人”。
1月27日,中国科大附一院(安徽省立医院)派出第一批10名医务人员驰援湖北,包括1名医院感染管理专家和9名重症监护专业护理人员。队长樊华9岁的女儿懂事地把爸爸送她的护身符悄悄装进爸爸的行李箱里,希望爸爸平安归来。

樊华9岁的女儿把护身符悄悄装进爸爸的行李箱里
“英雄妈妈,加油!宝宝在家等你”“武汉加油!姐姐加油!”1月31日,安医大四附院支援湖北抗疫医疗队第一批4名队员的家人,为奋战在抗击疫情最前线的妈妈、姐姐加油鼓劲,送去祝福。

合肥师范附小丁同学制作的手抄报
“爸爸妈妈告诉我:2017年,他们参加过H7N9禽流感疫情的抗争;今年,在新型冠状病毒(感染的肺炎)横行的时候,他们会到隔离病房参加战斗!爸爸妈妈也是我的英雄!”1月28日下午,一张手抄报的照片在微信群里传播开来。这份手抄报的作者是家住包河区烟墩街道明珠社区、正在合肥师范附小读四年级的丁同学,丁同学的父母都是医生。父亲丁斌说,在家会和孩子交流疫情防控,“孩子在做手抄报时就写了这样的主题,我们也很惊喜和欣慰。”

中国科大附一院西区肿瘤放疗科杨帆女儿项杨为母亲加油
2月4日,中国科大附一院西区肿瘤放疗科杨帆作为安徽第二批医疗队队员正式奔赴武汉。从那一天起,女儿项杨只能通过手机和妈妈杨帆进行简短的沟通。“有时妈妈还在忙碌,所以就没有回复我。”项杨说,其实很想妈妈。

女儿为奋战在抗击疫情最前线的妈妈加油鼓劲
因为疫情的到来,项杨的学校推迟了开学时间,在家里的她认真地完成了老师布置的绘画作业。“我画救护车、针剂和病毒......”随后,项杨在画上写上:“白衣天使,加油!”
(责任编辑 蒋艳)
暂无评论,快来抢沙发~